22LR PROJECTILE

The .22 Long Rifle rimfire cartridge was (probably) developed by the J Stevens Arms and Tool Company in the United States and introduced in 1887. It is probably the most widely used small game and varmint cartridge in the world and is certainly the most popular target cartridge of all time. Annual worldwide production of the .22LR cartridge runs into the billions!

This popularity and widespread use justifies a section of this program devoted to this bullet alone. The standard diameter of 0.222" and standard weight of 40 grains are fixed and cannot be changed. However, you can vary the muzzle velocity and choose a zero range and a custom range.

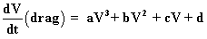
In the late 1980's Robert L. McCoy performed a comprehensive set of ballistic measurements on the .22LR bullet at the Aberdeen Proving Ground (Memorandum Report BRL-MR-3877, November 1990). This program uses a third order polynomial drag function to fit McCoy's data for Eley Tenex between 960 and 1050 ft/sec. For velocities less than 960 ft/sec., drag is assumed to vary as the square of the velocity, with a drag coefficient of 0.24.

For velocities above 1050 ft/sec., McCoy did experiments at slightly higher velocities using a projectile having an Eley Tenex shape. The drag for this projectile was slightly higher than the Eley Tenex bullet due it being made of harder lead and so the sharp corner junction from the ogive to the cylindrical part of the bullet did not 'slump' to a smoother shape in the way the soft leaded bullet did. However, a straight line function having the same slope as this data is extrapolated from the Eley Tenex data at 1050 ft/sec. and is assumed to be valid up to 1100 ft/sec. or Mach 1. The various drag functions are as follows:

Drag equation

DRAG FUNCTION TABLE a b c d
V < 960 ft/sec. 0 5.0064E-5 0 0
960 < V < 1050 4.2949E-5 -0.1267 124.77 -40965
V > 1050 ft/sec. 0 0 0.673 -634

22LR-projectile